交通部第69批达标车型:上榜数量创新高!纯电动首超传统车动力
公路客车(道路运输客车)是客车市场中最传统的领域,也是客车中最大的细分市场。而公路客车准入运营必须达到国家有关标准。因此,交通部公示的道路运输客车(公路客车)达标车型对车企下一步公路客车产品的策划可能会对公路客车行业的发展能起到一些“风向标”的作用,对客车企业今后的公路客车产品布局有较强的引导作用。
2024年10月28日,交通部公示了道路运输达标客车(公路客车)车型表(第69批,见下截图),这也是2024年以来交通部公示的第10批客车达标公告车型。本批达标车型共包括公路客车107款,环比大涨12.6%;其中包括52款传统动力公路客车,54款纯电动公路客车和1款燃料电池客车,且特点比较鲜明。

现对交通部第69批道路运输客车达标车型特点进行扼要解析,供行业参考!
特点一、上榜数量创今年以来各批次新高
根据交通部数据,2024年1-10月交通部共计发布了10个批次的公路客车达标车型公告

(含第60--69批)。各批次公告上榜的公路客车数量统计如下:
上图可见,在2024年1-10月交通部发布的各批次公路客车达标车型公告中,第69批上榜了107款车型,创今年1-10月各月新高,这是本批次公告的一个显著特点。说明各客车申报公路客车特别是新能源公路客车的积极性比之前都有所提高。
特点二:纯电动上榜数量首次超传统动力,且势头最猛
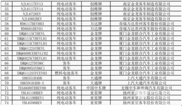
截图1,交通部道路运输车辆达标车型表(第69批公示)






表1,第69批交通部达标车型公告上榜的各动力车型数量、占比与上一批环比(数据来源:交通部)

上表可见,在本批次道路运输达标客车车型中:
----纯电动公路客车上榜54款车型,占据本批次达标公告上榜车型总数量107款的50.47%权重,居榜首,且是今年以来第一个超过传统动力公路客车上榜数量的批次,占比环比增加6.27个百分点,是占比环比增加最多的细分车型,说明纯电动公路客车领跑领涨,环比地位环比在明显增强。同时也说明当前我国公路客车电动化的进程正在加速。据分析主要得益于:
一是得益于“双碳”战略的推动及各地对环保考核力度的加大;
二是得益于各地充电基数设施的逐渐完善;
三是得益于终端市场需求增长的推动。
终端上牌数据显示,2024年1-9月国内纯电动公路客车累计同比增长近2倍,远跑赢2024年1-9月我国公路客车整体市场41.8%(见截图1)的增幅。

截图1,2024年1-9月中国公路客车销量同比(数据来源:慧眼看车)
正是在上述几个利好因素的综合作用下,导致客车企业申报新纯电动公路客车达标车型的积极性增加。
---传统动力的公路客车上榜52款,占据本批次公告上榜总数量107款48.6%的比例,占比环比减少7.2个百分点,说明目前我国传统动力的公路客车市场或将呈现萎缩的态势。
---燃料电池公路客车上榜1款车型,占据本批次公告上榜总数量107款0.93%的比例,占比环比净增0.93个百分点。可见燃料电池公路客车上榜数量还是太少,主要是因为加氢站太少且分布不均,加之燃料电池推广成本太高所致。
---插电式混动客车无上榜车型,说明目前插电式混动公路客车 几乎被边缘化。
特点三、中通客车居榜首,安凯第二,苏州金龙第三
根据统计,本批次上榜的达标客车车型共由19个客车品牌提供,其中上榜数量在5款及以上的企业统计如下图(数据来源:交通部第69批达标车型公告)

上图可见,在交通部第69批上榜的达标的道路运输客车车型公告中:
1、中通牌(中通客车)累计上榜20款,占行业上榜总数量18.7%的比例,居第一,其中传统动力客车上榜4款车型,纯电动客车上榜16款车型,从一定程度说明中通客车今后在公路客车领域可能主要发力新能源领域;
2、安凯牌(安凯客车)累计上榜15款车型,占行业上榜总数量14%的比例,居第二。其中10款传统动力的公路客车,5款纯电动公路客车;
3、海格牌(苏州金龙客车)累计上榜均为12款车型,居第三;占行业上榜总数量11.2%比例。其中5款为纯电动客车,7款为传统动力公路客车;
4、宇通牌(宇通客车)累计上榜10款车型,居第四,占行业上榜总数量9.35%的比例;10款均为传统动力公路客车;
5、其余车企均上榜10款以下车型。
特点四:5-6米领跑领涨,小型公路客车成主打车型
表2,根据交通部数据,第69批客车达标车型公告中上榜的各长度段车型数量、占比比及环比增减统计:


上表图说明,在第69批交通部上榜达标道路运输客车车型中:
---5-6米段车型累计上榜29款,占比27.1%,领跑各米段车型上榜数量;且占比环比增加了9.2个百分点,是占比环比增加最多的细分车型,可见5-6米段车型不仅领跑而且还领涨,风头最盛。这意味着客车企业都已经把5-6米小型公路客车作为拓展今后短途或农村公路客车市场的主打车型;
---10-11米段车型累计上榜28款,占比26.2%,居第二,且占比环比增加2个百分点,这意味着大型公路客车市场主打车型是10-11米段;
---11-12米段车型累计上榜18款,占比16.8%,居第三,但占比环比减少8.5个百分点,是占比环比减少最多的细分市场。据分析主要是上一个批次公告中上榜数量较多,另外就是11-12米大型公路客车性价比可能不及10-11米。
----8-9米段车型累计上榜13款,占比12.1%,居第四,占比环比减少4.7个百分点,是占比环比减少第二多的细分车型,
---其余各个长度段车型占比均在10%以下,主要是上一个批次上榜数量较多导致的。
总之,在交通部发布的第69批达标公路客车车型中,5-6米小型客车领涨领跑,说明我国公路客车市场“大转小”趋势比较明显,这或许是今后我国公路客车市场发展的一个新动向。
综上所述,交通部发布的第69批次公路客车达标公告中,特点较多,上述4个特点最为突出。
- 10月大中轻客车:销4.96万辆!同比增环比降 轻客\中客分别领涨同环比
- 10月新能源客车出口:“银十”失约 比亚迪夺冠 宇通\金旅分列二三
- 第401批新能源客车:上榜50款,纯电动地位更强,插混领涨
- 10月新能源客车:“银十”成色十足!宇通霸榜,中车\金旅分列二三
- 10月客车出口:销5105辆 宇通夺冠 “三龙”紧跟 欧辉大涨
- 2025年10月国家及地方层面有关客车政策汇总及评析
- 10月大中客车:宇通霸榜 中车杀入前三 欧辉“双领涨”
- 2025年前三季度公路客车市场主要特点总结
- 前三季度农村客车:“金九”坐实,累销11.66万辆
- 2025年9月公路\公交\校车PK: 谁领涨?“黑马”是哪个?
- 2025年9月及前9月新能源客车产量及动力电池装机量简析
- 1-9月考斯特客车:“金九”弱现 累销1.24万辆 增1.1%
- 9月客车出口:乌兹别克斯坦\智利\巴基斯坦居纯电动前三
- 9月新能源座位客车:销1148辆!同环比“双增” 欧辉\金龙分列二三
- 宇通夺冠,申沃\吉利争第二!9月7米以上新能源公交客车销量排行出炉
- 9月新能源轻客:销3.55万辆 “金九”如约而至 远程夺冠 江铃领涨
- 2025年前三季度大中型新能源客车市场主要看点有哪些?
- 9月客车终端市场:中客电动化率最高 宇通\江铃分获大中客\轻客冠军
- 9月轻客:销4.36万辆!“金九”坐实 长安领跑 宇通领涨
- 9月大中轻客车:“金九”旺销 5.58万辆 轻客\大客分别领涨同环比
1、凡本网注明“来源:www.beltsegypt.com” 的所有作品,版权均属于完美作业网有免费视频,未经本网授权,任何单位及个人不得转载、摘编或以其它方式使用上述作品。已经本网授权使用作品的,应在授权范围内使用,并注明“来源:www.beltsegypt.com”。违反上述声明者,本网将追究其相关法律责任。
2、凡本网注明 “来源:XXX(非完美作业网有免费视频)” 的作品,均转载自其它媒体,转载目的在于传递更多信息,并不代表本网赞同其观点和对其真实性负责。
3、如因作品内容、版权和其它问题需要同本网联系的,请在30日内进行。
※ 有关作品版权事宜请联系:copyright#chinabuses.com
- 140辆金旅客车护航全运会 多维保障筑牢大湾区通勤防线[11-18]
- 广元昭化:首台“文明新风号”公交车正式上线[11-18]
- 丹东公交集团14台新能源公交车正式上线运营[11-18]
- 福州更新投放434辆纯电动公交车[11-18]
- 哈尔滨|新车上路 快线提速 智慧护航 公交升级暖民心[11-18]
- 山西盂县往返市区的首条“便民快巴”开通[11-18]
- 引领产业创新 中创新航入选全国二十强“百链千企”案例[11-18]
- 智利女驾驶员人才培养计划圆满结项 中通为当地再添新功[11-18]