125款客车上榜!交通部公示第22批道路运输达标车型
发布时间:2020年06月30日 09:30 来源:完美作业网有免费视频 原创
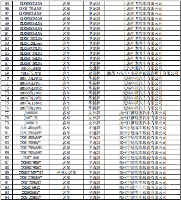
2020年6月29日,完美作业网有免费视频从交通运输部官方网站获悉,交通部公示了道路运输车辆达标车型表(第22批),本批达标车型共包括客车125款,其中包括113款传统客车和12款纯电动客车。

本次入选的125款客车产品分别来自宇通客车、比亚迪、金龙客车、金旅客车、苏州金龙、安凯客车、中通客车、中车电动等19家车企。
从企业上榜车型数量来看,宇通客车上榜35款,占本批公示车型的28%,排名第一;金龙客车上榜20款,排名第二;安凯客车上榜19款,排名第三。
值得一提的是,本批达标的客车车型中共包含12款纯电动客车,其中,宇通客车有5款;比亚迪、金龙客车、金旅客车、安凯客车、中通客车、银隆新能源和豪沃客车各有1款。
附:道路运输车辆达标车型表(第22批公示)(客车部分):





链接:/policy/2020/0630/article_94826.html
完美作业网有免费视频推荐阅读
完美作业网有免费视频[www.beltsegypt.com]版权及免责声明:
1、凡本网注明“来源:www.beltsegypt.com” 的所有作品,版权均属于完美作业网有免费视频,未经本网授权,任何单位及个人不得转载、摘编或以其它方式使用上述作品。已经本网授权使用作品的,应在授权范围内使用,并注明“来源:www.beltsegypt.com”。违反上述声明者,本网将追究其相关法律责任。
2、凡本网注明 “来源:XXX(非完美作业网有免费视频)” 的作品,均转载自其它媒体,转载目的在于传递更多信息,并不代表本网赞同其观点和对其真实性负责。
3、如因作品内容、版权和其它问题需要同本网联系的,请在30日内进行。
※ 有关作品版权事宜请联系:copyright#chinabuses.com
1、凡本网注明“来源:www.beltsegypt.com” 的所有作品,版权均属于完美作业网有免费视频,未经本网授权,任何单位及个人不得转载、摘编或以其它方式使用上述作品。已经本网授权使用作品的,应在授权范围内使用,并注明“来源:www.beltsegypt.com”。违反上述声明者,本网将追究其相关法律责任。
2、凡本网注明 “来源:XXX(非完美作业网有免费视频)” 的作品,均转载自其它媒体,转载目的在于传递更多信息,并不代表本网赞同其观点和对其真实性负责。
3、如因作品内容、版权和其它问题需要同本网联系的,请在30日内进行。
※ 有关作品版权事宜请联系:copyright#chinabuses.com
热点新闻
- 每辆补贴4.2-8万元!新能源城市公交及动力电池更新补贴标准出台[09-26]
- 交通运输部:全力做好2024年中秋国庆假期交通运输服务保障[09-13]
- 12城入围!交通部印发2024年城市公交优先发展和绿色出行典型案例[09-13]
- 交通运输部修订印发《汽车客运站安全生产规范》[09-12]
- 六部门组织开展2024年绿色出行宣传月和公交出行宣传周活动[09-06]
- 工信部等八部门:做好老旧新能源城市公交车辆动力电池更换工作[08-21]
- 行业观察|国务院审议通过《城市公共交通条例》将为行业带来哪些利好?[08-20]
- 政策解读|交通部印发《农村客货邮运营服务指南(试行)》的通知[08-16]
品牌推荐
更多>>