295款新能源客车将免征车辆购置税

完美作业网有免费视频了解到,本批免征车辆购置税的新能源汽车车型目录中共有新能源客车295款,其中纯电动客车228款,插电式混合动力客车66款,燃料电池客车1款。
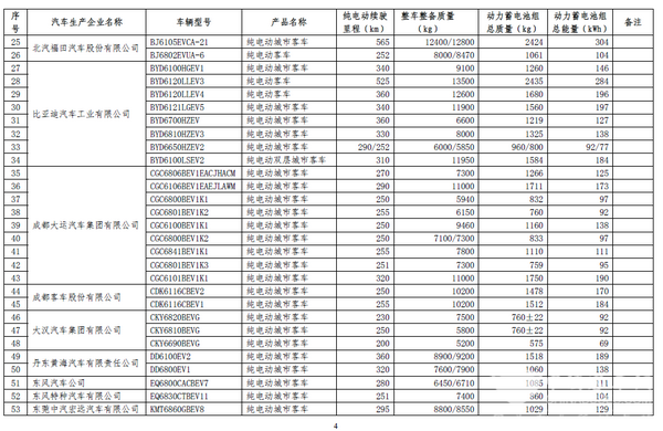
具体到客车品牌,纯电动客车方面,宇通客车上榜19款车型位列榜首;其次为常隆客车,上榜车型数量为13款;苏州金龙、南京金龙和扬子江并列第3位,分别上榜车型10款;中通和大运并列第4,上榜车型数量分别为9款;比亚迪和南京市公共交通车辆厂为例第5,上榜车型数量分别为8款。
插电式混合动力客车方面,苏州金龙车型数量最多,为10款;其次为北汽福田,车型数量为9款;广西源正排行第3,车型数量为8款;厦门金旅排行第4,车型数量为6款;厦门金龙排行第5,车型数量为5款。
唯一上榜的燃料电池客车是上海汽车商用车有限公司生产的产品名称FCV80,车型型号为SH6612A4FCEV,续航里程为430公里。
公告原文如下:
两部门发布《免征车辆购置税的新能源汽车车型目录》(第十二批)公告
为促进我国交通能源战略转型、推进生态文明建设、支持新能源汽车产业发展,根据《财政部 国家税务总局 工业和信息化部关于免征新能源汽车车辆购置税的公告》(公告2014年第53号)的要求,工业和信息化部会同国家税务总局等部门对企业提交的申请材料进行了审查。现将《免征车辆购置税的新能源汽车车型目录》(第十二批)予以公告。
附件:1.免征车辆购置税的新能源汽车车型目录(第十二批)
2.企业名称变更
工业和信息化部
国家税务总局
2017年8月29日
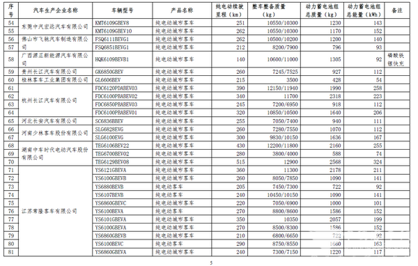
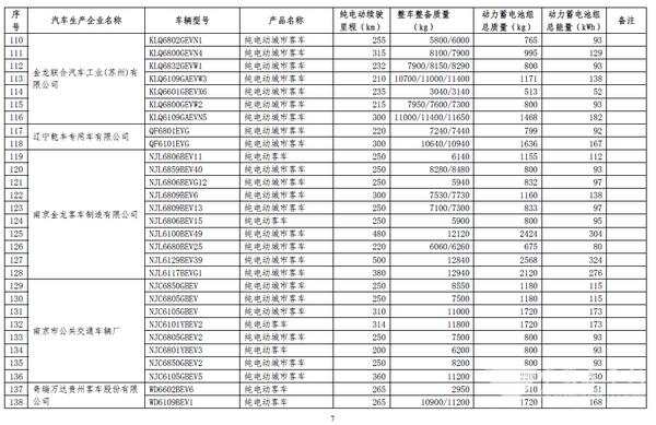
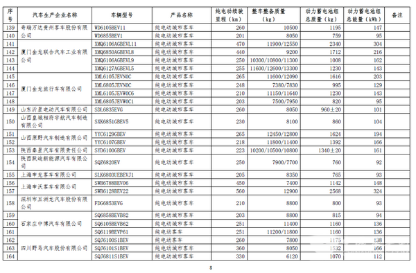
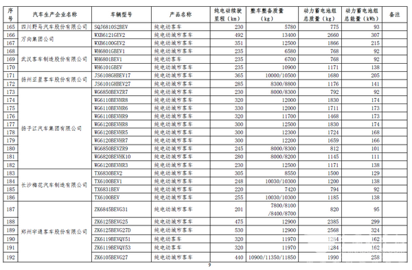
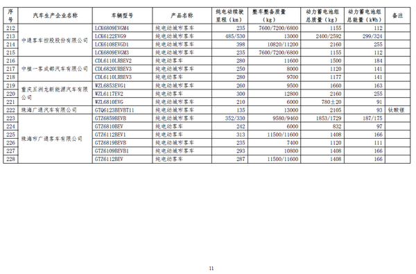
纯电动客车:









插电式混合动力客车:






燃料电池客车:

1、凡本网注明“来源:www.beltsegypt.com” 的所有作品,版权均属于完美作业网有免费视频,未经本网授权,任何单位及个人不得转载、摘编或以其它方式使用上述作品。已经本网授权使用作品的,应在授权范围内使用,并注明“来源:www.beltsegypt.com”。违反上述声明者,本网将追究其相关法律责任。
2、凡本网注明 “来源:XXX(非完美作业网有免费视频)” 的作品,均转载自其它媒体,转载目的在于传递更多信息,并不代表本网赞同其观点和对其真实性负责。
3、如因作品内容、版权和其它问题需要同本网联系的,请在30日内进行。
※ 有关作品版权事宜请联系:copyright#chinabuses.com
- 每辆补贴4.2-8万元!新能源城市公交及动力电池更新补贴标准出台[09-26]
- 交通运输部:全力做好2024年中秋国庆假期交通运输服务保障[09-13]
- 12城入围!交通部印发2024年城市公交优先发展和绿色出行典型案例[09-13]
- 交通运输部修订印发《汽车客运站安全生产规范》[09-12]
- 六部门组织开展2024年绿色出行宣传月和公交出行宣传周活动[09-06]
- 工信部等八部门:做好老旧新能源城市公交车辆动力电池更换工作[08-21]
- 行业观察|国务院审议通过《城市公共交通条例》将为行业带来哪些利好?[08-20]
- 政策解读|交通部印发《农村客货邮运营服务指南(试行)》的通知[08-16]