山东区域2015年1-8月新能源客车市场调研分析
山东区域是全国新能源客车销量第二大的省份,因此笔者近期花费了近半个月的时间专门对山东区域2015年1-8月新能源客车的市场销量情况进行了市场调研,并整理如下:
一、2015年山东省对新能源汽车补贴政策的调研分析
笔者从山东省财政厅获悉,2015年上半年山东省财政厅发布《山东省节能与新能源城市公交车示范推广资金管理暂行办法》,着重加大纯电动、插电式混合动力、超级电容纯电动公交车的补贴力度,为进一步促进公共交通领域节能减排,有效缓解能源和环境压力,加快山东省新能源汽车产业转型升级,提供了财政政策支持。
1、补贴力度空前
据了解,新办法出台以前,购置纯电动、插电式混合动力、超级电容纯电动公交车只享受国家补贴,没有省级补贴。此次新办法规定,公交企业购置新能源城市公交车,在获得国家补贴的基础上,山东省财政将按照最高不超过国家补贴的60%再给予省级补贴(补贴标准详见附表),购置一辆新能源城市公交车最高可获补20万元。此次补贴力度可谓我省空前,同时,山东的新办法和其他省份已经出台的办法相比,对新能源城市公交车的补贴力度省级这个层面也是最高的。
需要指出的是,根据目前市场上的新能源城市公交车和传统动力城市公交车售价来看,山东省财政补贴新政实施后,已基本抹平了新能源城市公交车与传统动力公交车的购车成本差价。比如,购置一辆10米以上的插电式混合动力城市公交车的市场价大约是70-75万元,购置一辆传统动力公交车的市场价大约是40-45万元,根据新办法规定的补贴标准,购置一辆插电式混合动力城市公交车可获得最高不超过40万元的补贴。也就是说,公交企业只需花费30-35万元就可以购置一辆插电式混合动力城市公交车,比购置一辆传统动力公交车便宜大约10-15万元。
据悉,新办法有效期为2年,这将鼓励公交运营企业尽快多购置节能和新能源城市公交车,加快节能和新能源城市公交车的推广普及,进一步带动新能源汽车产业加速转型升级,加快培育我省新能源汽车产业成为我省新的经济增长极。同时,节能与新能源汽车的广泛应用,将有效缓解山东省能源和环境压力,有助于山东省空气质量的改善。
2、补贴区域和补贴车型双扩展
据了解,新办法将以前只有山东省各市(不含青岛,下同)本级享受补贴政策,扩展至现如今全省所有市、县(区)都享受补贴政策,推动形成以新能源城市公交车为主的城乡公共交通服务网络,提高政府基本公共服务水平,促进城市内外交通便利衔接和城乡公共交通一体化发展。
同时,新办法明确,除对纳入国家补贴范围的纯电动、插电式混合动力、超级电容纯电动公交车给予补贴外,还充分考虑到山东实际,继续对全省各市本级公共交通企业和单位购买使用单价20万元及以上车型的天然气城市公交车给予3万元/辆省级补贴。
3:新能源城市公交车补贴标准
|
新能源城市公交类型 |
国家补贴标准 |
省级补贴标准 |
省级补贴标准 |
|
纯电动城市公交车 |
50万元/辆 |
20万元/辆 |
70万元/辆 |
|
插电式混合动力城市公交 |
25万元/辆 |
15万元/辆 |
40万元/辆 |
|
超级电容纯电动城市公交车 |
15万元/辆 |
5万元/辆 |
20万元/辆 |
二、山东区域2015年1-8月新能源客车销售数据分析
1、根据上牌数据统计,山东区域2015年1-8月累计销售6米以上新能源客车1122辆,占据全国市场大约7.3%的比例,处于各省份销量之亚军(第一是江苏区域)。其中纯电动客车销售740辆,插电式混合动力客车销售340辆;燃料电池客车销售42辆。
2015年1-8月山东区域新能源客车销售数据统计表


2、按长度段划分,对2015年1-8月山东区域新能源客车销量分析


3、按长短区间划分山东区域2015年1-8月纯电动客车销量结构分析
2015年1-8月山东区域纯电动客车各长度段销量数据统计表


4、按长短区间划分山东区域2015年1-8月插电式混合动力客车销量结构分析
2015年1-8月山东区域插电式混合动力客车按长度划分销量统计表


三、山东各区域市场2015年1-8月新能源客车销售数据分析---5个新能源试点城市推广新能源客车的数量占据山东全省的60%以上比例,其余12个地市占据的比例只有38.5%
根据最新车管部门统计,山东17个地市2015年1-8月各地区新能源客车销量表
|
地市 |
青岛 |
潍坊 |
淄博 |
聊城 |
临沂 |
济南 |
东营 |
济宁 |
威海 |
泰安 |
德州 |
滨州 |
聊城 |
枣庄 |
日照 |
菏泽 |
莱芜 |
合计 |
|
20151-8月销量 |
204 |
145 |
118 |
114 |
110 |
58 |
52 |
47 |
46 |
43 |
39 |
37 |
28 |
25 |
22 |
19 |
15 |
1122 |
|
占比% |
18.1 |
12.9 |
10.5 |
10.2 |
9.8 |
5.2 |
4.6 |
4.2 |
4.1 |
3.8 |
3.5 |
3.3 |
2.5 |
2.2 |
2 |
1.7 |
1.4 |
100 |
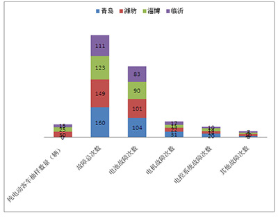
四、山东区域几个试点城市新能源客车(主要是纯电动)售后情况调研分析
2015年8月上旬,笔者对纯电动客车销量较大的山东地区的青岛、潍坊、淄博、临沂等几个区域市场抽样选定了2014年销售的100辆纯电动故障发生频率进行了跟踪调研分析,具体如下表:




五、山东区域未来新能源客车市场分析展望
根据笔者对青岛交运集团刘总的调研得知,目前,青岛交运集团的新能源汽车超过1000辆,今后交运集团的公交车将全部采用新能源汽车。3年以后,集团内60%以上营运车辆将全部为新能源汽车。交运集团(青岛)董事长刘永康还透露,山东未来几年内将成全国最大的新能源客车市场。在山东,青岛市是国家第一批新能源汽车推广试点城市。这样的城市目前在山东共有5个,占全国总数的12.5%。根据上述5个城市向财政部等部委提交的2013年至2015年新能源汽车推广目标,累计将达到2.64万辆。其中,2013年至2015年有望新增加新能源客车1万辆以上。专家分析认为,这将使山东可能成为全国各省市中最大的新能源客车市场。根据调研,2014年在青岛举办的世界园艺博览会,加速了构建绿色低碳城市。作为2014年世界园艺博览会的主要运营商,除发展新能源公交外,交运集团(青岛)还引入了电动出租车、电动观光车等新能源交通工具,为世园会增加了绿色动力,大大推动了青岛新能源客车市场的发展。
有关专家经过调研后认为,目前山东区域的纯电动、天然气新能源车辆已涵很多大汽车集团所有客货经营领域。
据了解,作为山东新能源客车推广的龙头老大区域----青岛力争到2016年,节能与新能源汽车总数超过2000辆,其中公交车1500辆。另外,据山东省财政厅介绍,对购买纳入国家节能与新能源城市公交汽车补贴目录车型的,将由山东省财政给予最高每辆不超过5万元的补贴;购置国家补贴车型以外的10米以上、使用镍氢电池、锂离子动力电池和超级电容作为储能器的纯电动公交汽车、混合动力公交汽车,将给予最高每辆不超过40万元的补贴;购置天然气公交汽车的,将给予每辆最高不超过5万元的补贴。
作为临沂、淄博、聊城、潍坊4个新能源客车推广城市,也将在2016年前计划推广各类新能源车辆2.12万辆,新建纯电动汽车充换电站31座,充电桩6520个,新能源汽车维护站11个。同时,以上4市也也已经出台具体方案通过财政补贴方式加大当地公交公司采购新能源汽车的力度。纯电动汽车将成新宠政策推动市场扩大无疑给新能源汽车生产制造企业带来了重要机遇。
综合各方面的市场调研分析,山东区域有可能再未来2年内成为中国最大的新能源客车推广应用城市,全国各新能源客车生产营销企业一定要抓好市场机遇,制定具体的市场营销策略,进入山东这个市场容量巨大的新能源客车市场。
- 2021年1-10月江苏区域客车终端市场特点解析
- 2021年前三季度广东区域新能源客车市场特点分析
- 广州深圳领跑,转型模式重构!2021年前5月广东区域公路客车市场调研
- 南京、苏州、无锡居前三!2021年前4月江苏区域客车终端市场剖析
- 区域领跑者,行业排头兵!2020年前10月江苏区域客车市场特点剖析
- 2020年前7月广东区域客车市场特点剖析
- 行业排头兵,引领风向标 广东公路客车市场特点及客运创新模式简析
- 2019年广东区域公路客车市场特点剖析
- 车企如何进占广东区域轻客市场?
- 江苏区域客车市场特点、定制客运模式及车企应对策略
- 针对行业细分客户,如何精准推广团体客车?
- 自主品牌在欧洲纯电动公交市场机会来了?
- 针对广东考斯特市场,仿考车企如何出招?
- 车企如何攻占上海区域团体客车市场?
- 2019年前5月广东区域公路客车市场特征研析
- 2019年1-5月天津区域大中客市场特点简析
- 2019年前5月河南区域轻客市场及影响因素解析
- 2019年一季度苏、鲁、粤、豫、川11-12米公路客车市场特点简析
- 2019年一季度云南区域大中型旅游客车市场特征研析
- 2019年一季度山东区域大中客车市场特点总结
1、凡本网注明“来源:www.beltsegypt.com” 的所有作品,版权均属于完美作业网有免费视频,未经本网授权,任何单位及个人不得转载、摘编或以其它方式使用上述作品。已经本网授权使用作品的,应在授权范围内使用,并注明“来源:www.beltsegypt.com”。违反上述声明者,本网将追究其相关法律责任。
2、凡本网注明 “来源:XXX(非完美作业网有免费视频)” 的作品,均转载自其它媒体,转载目的在于传递更多信息,并不代表本网赞同其观点和对其真实性负责。
3、如因作品内容、版权和其它问题需要同本网联系的,请在30日内进行。
※ 有关作品版权事宜请联系:copyright#chinabuses.com
- 140辆金旅客车护航全运会 多维保障筑牢大湾区通勤防线[11-18]
- 广元昭化:首台“文明新风号”公交车正式上线[11-18]
- 丹东公交集团14台新能源公交车正式上线运营[11-18]
- 福州更新投放434辆纯电动公交车[11-18]
- 哈尔滨|新车上路 快线提速 智慧护航 公交升级暖民心[11-18]
- 山西盂县往返市区的首条“便民快巴”开通[11-18]
- 引领产业创新 中创新航入选全国二十强“百链千企”案例[11-18]
- 智利女驾驶员人才培养计划圆满结项 中通为当地再添新功[11-18]